摘要: 原標題:張益唐被曝已證明黎曼猜想相關問題 數學界轟動不已 網傳數學家張益唐,已經攻克了朗道-西格爾零點猜想(Landau-Siegel Zeros Conjecture)。 而這則消
原標題:張益唐被曝已證明黎曼猜想相關問題 數學界轟動不已
網傳數學家張益唐,已經攻克了朗道-西格爾零點猜想(Landau-Siegel Zeros Conjecture)。

而這則消息,據說是張益唐在參加北京大學校友Zoom線上會議時親口所述。
如此爆料,可謂是在數學界轟動不已。
微博博主“物理芝士數學醬”認為,如果張益唐所證明的是朗道-西格爾零點存在,那么黎曼猜想就可以死了:
張益唐直接就是前后50年里最偉大的數學家,沒有之一。
但與此同時,他認為“這就過于駭人聽聞”,因此他更傾向于認為張益唐所證明的,是朗道-西格爾零點不存在——“這也是更令人信服的結論”。

但這項工作的價值可以說是毋庸置疑,正如知乎網友爆料所述:
張益唐要是能把Landau-Siegel做出來,就相當于一個人被閃電擊中兩次。

并且根據這條爆料消息來看,相關文章將會在11月初發到預印本網站,一百多頁。
那么這個朗道-西格爾零點猜想到底是什么?
對它的證明,又為何會引發如此反響?
朗道-西格爾零點猜想
所謂朗道-西格爾零點猜想,簡單來說就是黎曼猜想的某種弱形式。
核心要回答的一個問題就是:是否存在一個叫做朗道-西格爾零點的東西。
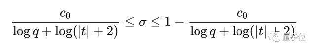
首先我們設實數σ,t和復數s=σ+it。
根據知乎博主“TravorLZH”的介紹,十九世紀的數學家為了研究素數分布引入了黎曼猜想。
而為了研究等差數列上的素數分布,數學家Dirichlet引入了L函數。

再后來,數學家也發展出了對應的解析工具來說明L函數在σ=1時無零點,從而證明了等差數列上的素數定理:

但對于上面的公式,數學家們依舊是不滿意,他們還要繼續縮減L函數的非平凡零點的存在區域。
于是前人證明了L函數的非平凡零點基本上都能落在類似于下面公式中的沙漏型的區域:

如果L函數所有的非平凡零點都落在這個區域內,就可以得到帶余項的等差數列素數定理。
可惜的是,數學家Edmund Landau發現當X滿足特殊性質時其對應的L函數可能會出現落在上面公式之外的異常零點(exceptional zero)。
但幸運的是,Landau證明了對于每個這樣的L函數,若下面區域中存在異常零點,則這樣的零點只可能出現一個,而且階數也恰好只能是一。

后來Walfisz利用這個更弱的非零區域得到了一個妥協版的等差數列素數定理:

很明顯,這個公式的限制條件要多了許多,所以大家當然希望L函數能夠沒有異常零點。
由于Landau和Siegel兩位數學家在L函數異常零點這個領域里做了開創性的工作,所以異常零點也常常被稱為Landau-Siegel零點。
而斷言L函數沒有異常零點的猜測就被稱為Landau-Siegel猜想。
整體來看,其實廣義黎曼猜想恰好是Landau-Siegel猜想的充分條件。
但這一個世紀以來的研究表明Landau-Siegel問題可以比黎曼猜想還要難解決。
因此,要是張益唐證明的是朗道-西格爾零點,那么黎曼猜想是錯的。
這也就是為何大家都對這則消息都用“駭人聽聞”來形容了。
但就目前來看,很多人都更傾向于認為他證明的是朗道-西格爾零點不存在。
如此一來,就不會和黎曼猜想發生沖突。
至于具體證明了什么,還需要等待張益唐本人的正面回復了。
而且很多網友對此都認為:
考慮張的平生,其人沉穩堅毅,肯定不會信口胡說。
不過需要說明的是,目前為止,張益唐本人并未在其他場合和形式宣布這一進展。
半生蟄伏,一鳴驚人
實際上,關于朗道-西格爾猜想,早在07年老張就曾預印了一篇論文,但是里面的論證有些Bug。

此后,他多次提到過他正在關注這個問題。
然后在2019年,張曾表示在這個猜想上已取得一些可喜的進展。
不過要說張益唐從默默無聞到名聲大振,還得把時間的指針撥到2013年。
那一年,他在數學最高期刊Annals of Mathematics上發表了震驚眾多學者的《質數間的有界間隔》。

這篇文章首次證明了距離有限的質數對是無窮多的,在孿生素數猜想這一數論難題上取得質的突破。
而在這篇論文發表之前,他曾有令人羨慕的中外頂尖學府求學經歷,但隨后卻經歷了多年的蟄伏,甚至不得已跑去賽百味端盤子。
1978至1985年,張益唐在北大數院拿到了本科和碩士學位,并在碩士期間師從我國著名數學家潘承彪。
后來代數幾何學家莫宗堅訪問北大,并發掘了張。隨后張就跟著莫飛往美國,到普渡大學(號稱“太空人的搖籃”那個)讀博。
最終當張提交博士畢業論文時,他已在普渡大學讀了6年半,但在此期間他發表的學術論文寥寥無幾。
值得一提的是,張益唐自己并不太喜歡代數幾何學,而更熱衷于數論。
所以他希望博士畢業以后離開這個圈子,回頭去研究他感興趣的數論,但導師莫宗堅得知后并不高興,于是兩人分歧越來越大。
結果就是,等張好不容易博士畢業,他卻沒有導師的工作推薦信。
(莫宗堅在張益唐成名后曾發文澄清過此事,認為沒寫推薦信是因為自己不知道給張推薦現成的工作是否合適,而且稱這種做法在當時已經不太流行了)
再加上他性格偏內向,以及在讀博期間發表的學術論文太少等因素,竟沒有任何一個美國大學或研究所愿意要他。

曾有朋友向張建議轉行從事金融或計算機行業,但他并不愿意。
一邊是繼續苦苦鉆研數論;另一邊,他也不得不四處謀生,但可惜在很長時間內,他都沒找到好工作,有時甚至只能借住朋友家的地下室。
在此期間,他曾到一位北大校友開的快餐連鎖店賽百味擔任會計。因為這樣可以讓他在工作中發揮記憶力和計算能力方面的特長,并抽空研究數學。
所幸,他人生中的又一位“伯樂”出現了,是他在北大和普渡大學的校友唐樸祁。
1999年,張益唐與唐樸祁合作發表一項互聯網專利。這項專利涉及一個實用性很廣的計算機算法難題,但張只用了3周的時間就搞定了,這令唐對其刮目相看。
于是,唐樸祁向在新罕布什爾大學任教的學弟葛力明介紹張益唐,然后經葛力明推薦,張益唐先后在這里擔任數學系與統計學系的助教和講師,執教微積分、代數、初等數論等課程。
到此,他終于回歸了學術圈,有了關注新進展、了解同行思想和下載學術論文的便捷渠道。
至于有關此次曝光的朗道-西格爾零點猜想,我們將持續保持關注。
















